The Epilogue

Dr. Kam Tin Seong
Assoc. Professor of Information Systems (Practice)

School of Computing and Information Systems,
Singapore Management University

Invalid Date

ISSS608: Visual Analytics and Applications

Motivation of Visual Analytics

The World is full of charts that lie!

We need to get smarter about visual information

Motivation of Visual Analytics

Is there a place for Visual Analytics in knowledge discovery?

What is Visual Analytics?

Visual Analytics must be Reprducible

Reference: Ten Simple Rules for Reproducible Computational Research

A Gentle Reminder

Data Visualization: Clarity or Aesthetics?

A Gentle Reminder

Avoiding junk charts

A Gentle Reminder

Avoiding junk charts

A Gentle Reminder

Avoiding junk charts

A Gentle Reminder

Avoiding junk charts

A Gentle Reminder

Avoiding junk charts

A Gentle Reminder

Avoiding junk charts

A Gentle Reminder

Avoiding junk charts

A Gentle Reminder

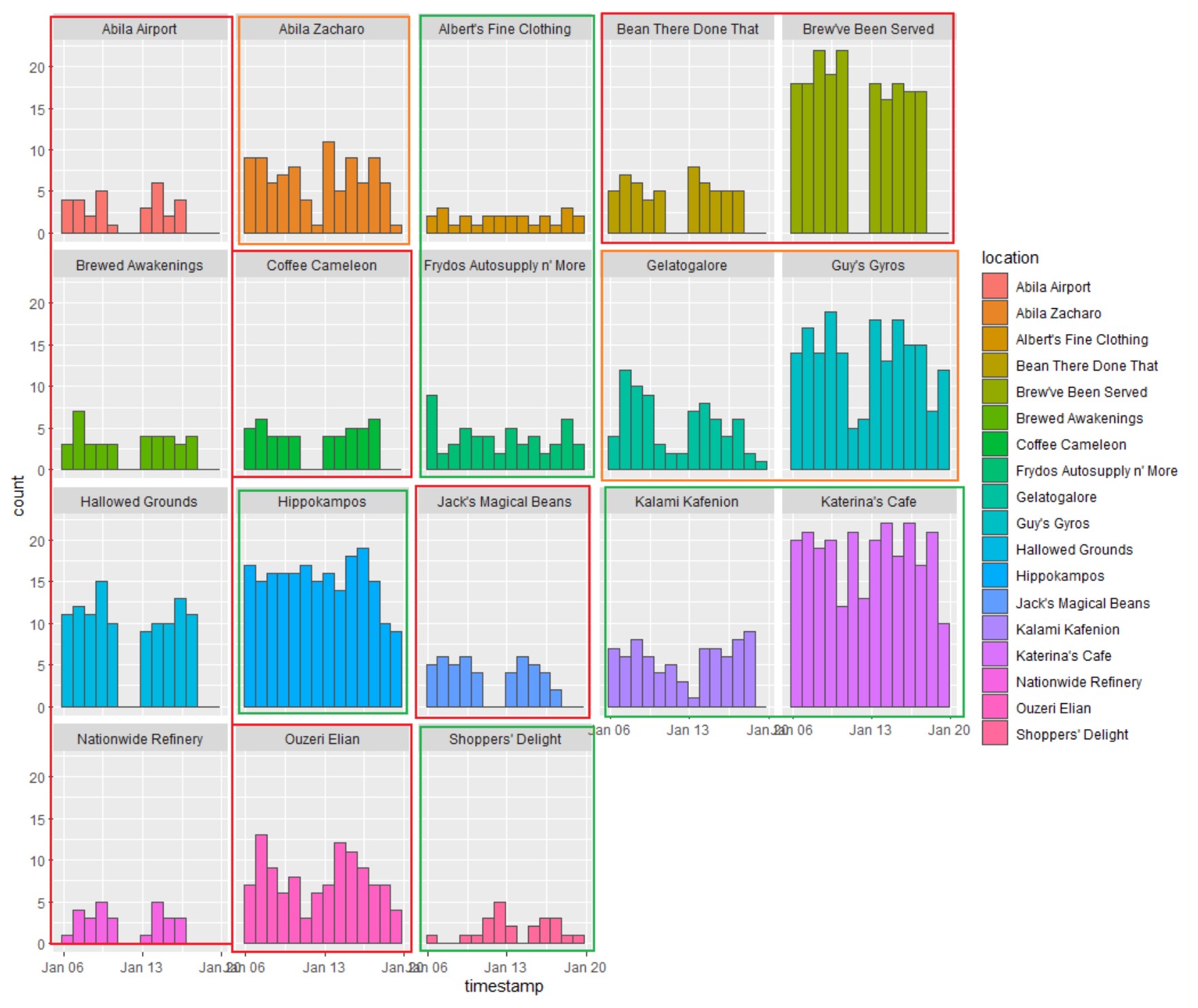
Show the world the good visual design priciples

A Gentle Reminder

Show the world the good visual design priciples

The bumper ride of R rollercoaster

The bumper ride of R rollercoaster

The bumper ride of R rollercoaster

The bumper ride of R rollercoaster

The bumper ride of R rollercoaster

Time to Say Goodbye

Let’s Build a Better World with Visual Analytics

Things end but memories last forever!